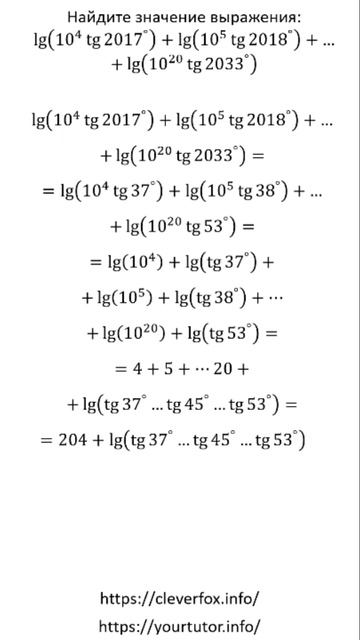
Задание из вступительного в Физтех-лицей

    Задание из вступительного в Физтех-лицей

    Расскажите об этом видео своим друзьям в социальных сетях!


    Качество: HD Автор видео: Репетитор по математике и физике Добавлено: 20.12.2025 в 00:00:00 Продолжительность: 00:00:59 Зрители: 0

    QR-код страницы с видео



    Видео Задание из вступительного в Физтех-лицей



    Уровень заданий которые дают на вступительном экзамене в Физтех-лицей вполне соответствует средней олимпиаде по математике. Основательная подготовка к такому испытанию необходима даже для тех учеников которые отлично справляются с учебной про..., видео от 2025-12-20 загрузил на rutube Репетитор по математике и физике...

    Данную страницу никто не комментировал. Вы можете стать первым.

    Новое видео

    Moana Cuan Lejos Voy
    Moana Cuan Lejos Voy - 30.04.2026

    онлайн сцена иностранных языков

    Задача из вступительного в 57 школу
    Задача из вступительного в 57 школу - 29.11.2025

    Репетитор по математике и физике

    Простые числа на экзамене в Л2Ш
    Простые числа на экзамене в Л2Ш - 04.04.2026

    Репетитор по математике и физике

    La Seine - Monstruo En Paris
    La Seine - Monstruo En Paris - 30.04.2026

    онлайн сцена иностранных языков

    Геометрия на вступительном в школу 1543
    Геометрия на вступительном в школу 1543 - 05.12.2025

    Репетитор по математике и физике

    красная площадь 2
    красная площадь 2 - 30.04.2026

    информатика в роликах

    Обсуждаемое сегодня