Расскажите об этом видео своим друзьям в социальных сетях!
QR-код страницы с видео

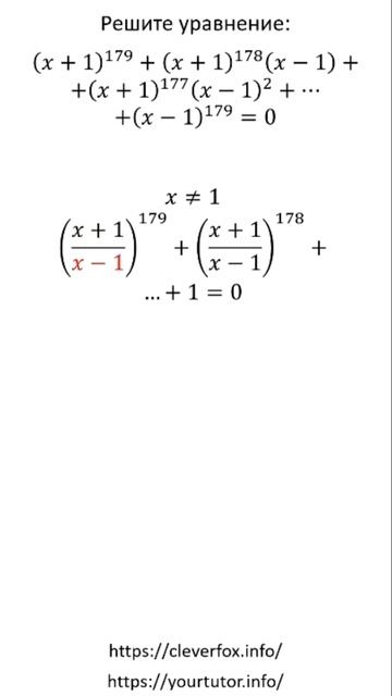
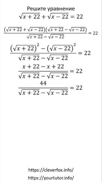
При поступлении в физико-математическую школу 2007 необходимо сдать письменный экзамен по математике к которому я ежегодно готовлю часть своих учеников. И этот год не исключение. По тому интересу который проявляют школьники и их родители к пр..., видео от 2026-03-14 загрузил на rutube Репетитор по математике и физике...