Расскажите об этом видео своим друзьям в социальных сетях!
QR-код страницы с видео

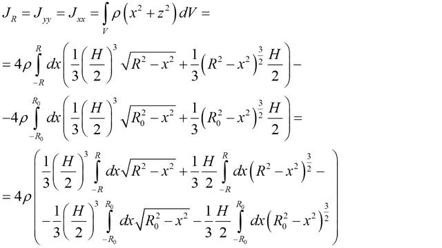
Рассчитаны главные моменты инерции полого прямого цилиндра круглого сечения. Показано как получить из предыдущего результата главные моменты инерции кольца диска сплошного цилиндра и тонкой проволоки. Вычислено два простых интеграла которые м..., видео от 2023-09-23 загрузил на rutube Руководство к Совершенству...