Расскажите об этом видео своим друзьям в социальных сетях!
QR-код страницы с видео

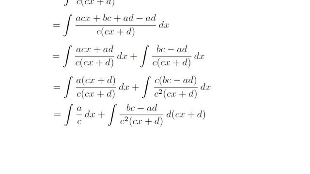
1. In this video we will learn to integrate a general fraction form. In which numerator is in a general linear form ax b. Here a and b are the constants. And the denominator also has a general linear form cx d. Where c and d are the consta..., видео от 2024-01-11 загрузил на rutube Решения задач по геометрии...