Расскажите об этом видео своим друзьям в социальных сетях!
QR-код страницы с видео

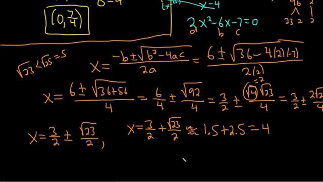
In this video we graph a rational function and identify all of the intercepts and asymptotes in the graph. This one has an obliqueslant asymptote as well. If you enjoyed this video please consider liking sharing and subscribing. Udemy Cours..., видео от 2025-01-26 загрузил на rutube Mathématiques et Voyage...