Расскажите об этом видео своим друзьям в социальных сетях!
QR-код страницы с видео

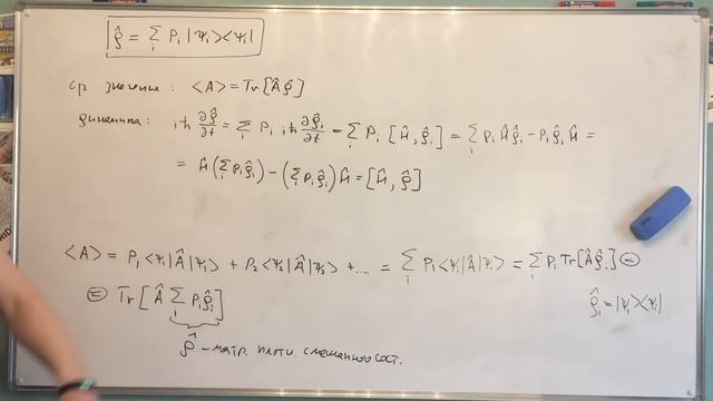
Матрица плотности чистого состояния. Матрица плотности смешанного состояния. Матрица плотности кубита., видео от 2023-12-28 загрузил на rutube Геометрия: открытие новых миров...