Расскажите об этом видео своим друзьям в социальных сетях!
QR-код страницы с видео

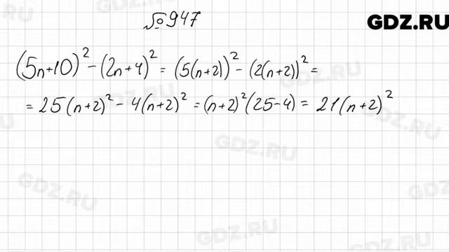
Видео решение к номеру 947 по алгебре за 7 класс, авторов А.Г. Мерзляк, В.Б. Полонский, М.С. Якир Более подробное гдз к этому заданию можно найти здесь , видео от 2024-05-02 загрузил на rutube Радостные новости...