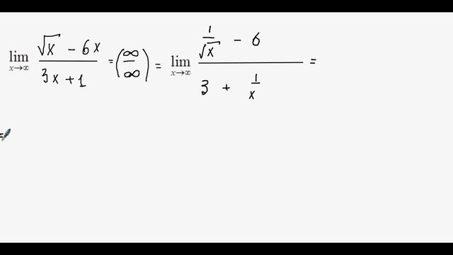
749. Вычислить предел

    749. Вычислить предел

    Расскажите об этом видео своим друзьям в социальных сетях!


    Качество: HD Автор видео: Виктор Глазнев Добавлено: 26.01.2026 в 00:00:00 Продолжительность: 00:02:11 Зрители: 2

    QR-код страницы с видео



    Видео 749. Вычислить предел



    вычисление предела функции, видео от 2026-01-26 загрузил на rutube Виктор Глазнев...

    Данную страницу никто не комментировал. Вы можете стать первым.

    Новое видео

    Обсуждаемое сегодня