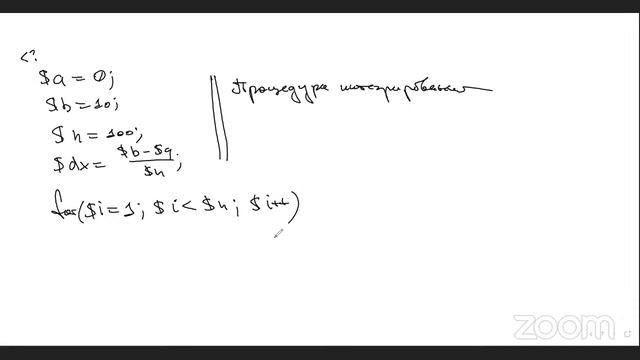
21.12.2021 Вычислительная математика ЭПИ численное интегрирование

    21.12.2021 Вычислительная математика ЭПИ численное интегрирование

    Расскажите об этом видео своим друзьям в социальных сетях!


    Качество: HD Автор видео: Уравнение радости Добавлено: 21.01.2025 в 00:00:00 Продолжительность: 01:21:30 Зрители: 0

    QR-код страницы с видео



    Видео 21.12.2021 Вычислительная математика ЭПИ численное интегрирование



    , видео от 2025-01-21 загрузил на rutube Уравнение радости...

    Данную страницу никто не комментировал. Вы можете стать первым.

    Новое видео

    Dead Effect 2 Часть 04
    Dead Effect 2 Часть 04 - 26.01.2025

    Уравнение радости

    Обсуждаемое сегодня