Расскажите об этом видео своим друзьям в социальных сетях!
QR-код страницы с видео

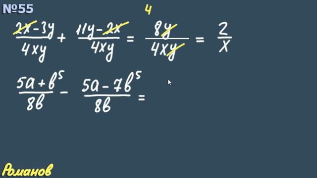
все темы по алгебре - ? алгебра 8 класс Макарычев все темы - ? РЕШЕНИЕ задач и ПРИМЕРОВ - В этом видео уроке по алгебре для 8 класса объясняется: - как складывать рациональной дроби с одинаковыми знаменателями - как вычитать рациональной ..., видео от 2023-09-28 загрузил на rutube Уроки математики: Дроби и действия...