Расскажите об этом видео своим друзьям в социальных сетях!
QR-код страницы с видео

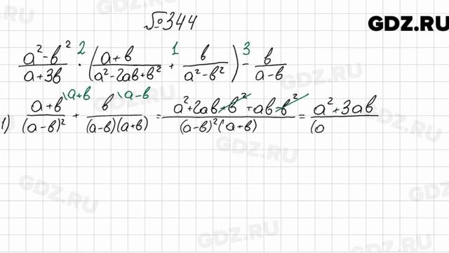
Видео решение к номеру 344 по алгебре за 8 класс авторов А.Г. Мерзляк В.Б. Полонский М.С. Якир Более подробное гдз к этому заданию можно найти здесь , видео от 2024-01-11 загрузил на rutube Уроки геометрии: развитие абстрактного мышления...