Расскажите об этом видео своим друзьям в социальных сетях!
QR-код страницы с видео

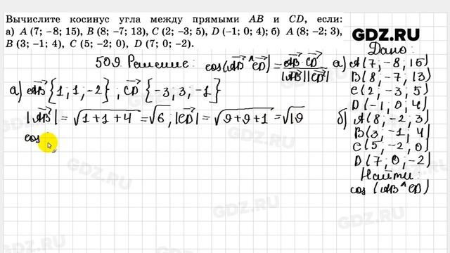
Видео решение к номеру 509 по геометрии за 10-11 класс Атанасян Л.С. Бутузов В.Ф. Кадомцев С.Б. Киселева Л.С. Позняк Э.Г. Более подробное гдз к этому заданию можно найти здесь , видео от 2023-12-28 загрузил на rutube Геометрия: логика и творчество...