Расскажите об этом видео своим друзьям в социальных сетях!
QR-код страницы с видео

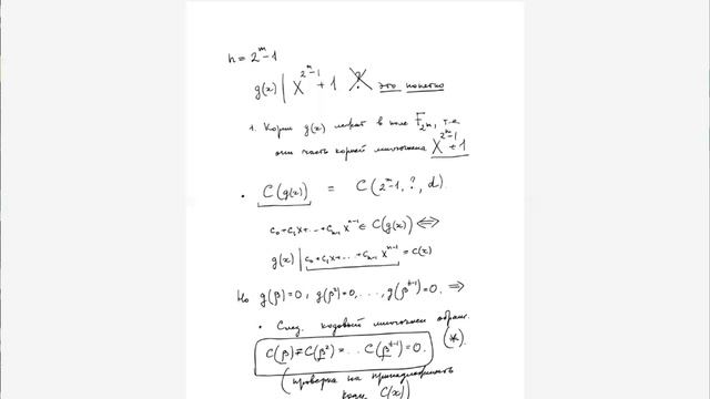
Степень с рациональным показателем. Дистанционный курс по подготовке к ЕГЭ по математике на EGEtrain.ru и в группе вконтакте , видео от 2023-12-30 загрузил на rutube Школьные теоремы и загадки...